zookeeper学习笔记一
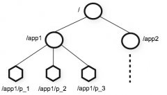
在zookeeper中实现了一个类似file system系统的数据结构,比如/zookeeper/status。 每个节点都对应于一个znode节点。...
在zookeeper中实现了一个类似file system系统的数据结构,比如/zookeeper/status。 每个节点都对应于一个znode节点。...
Zookeeper是hadoop的一个子项目,本文简单分析zookeeper的工作原理,对于如何使用zookeeper不是本文讨论的重点。...
HBase是Google Bigtable的开源实现,HBase利用Hadoop HDFS作为其文件存储系统;HBase同样利用Hadoop MapReduce来处理HBase中的海量数据,HBase利用Zookeeper作为对应。...
Zookeeper基本原理,通常Zookeeper由2n+1台servers组成,每个server都知道彼此的存在。每个server都维护的内存状态镜像以及持久化存储的事务日志和快照。对于2n+1台server,只要有n+1台(大多数)server可用,整个系统保持可用。...
1 概述Zookeeper分布式服务框架是 Apache Hadoop 的一个子项目,它主要是用来解决分布式应用中经常遇到的一些数据管理问题,如:统一命名服务、状态同步服务、集群管理、分布式应用配置项的管理等。 ZooKeeper本身可以以Standalo...